加密市场分析 行业领袖访谈

全面解析以色列国家保险移动补助:资格条件与实用指南

加密市场分析 行业领袖访谈
深入探讨以色列国家保险移动补助的医疗资格、申请流程、补助计算及相关福利,助力行动不便者了解政策,保障自身权益。

深入探讨以色列国家保险移动补助的医疗资格、申请流程、补助计算及相关福利,助力行动不便者了解政策,保障自身权益。

以色列国家保险(ביטוח לאומי)为行动不便者提供一项重要的经济支持 - - 移动补助金(קצבת ניידות)。这一补助旨在帮助那些因下肢功能障碍或其他严重行动限制而生活受到影响的个人,以缓解他们在日常生活中的经济压力与行动困难。了解移动补助的相关政策、申请条件及具体操作流程,对于符合条件的申请者尤为重要。本文将全面解析移动补助的核心要点,结合常见问题与专业解答,助力申请者精准把握相关权益。移动补助的目的及法律依据移动补助是基于医疗定义的下肢功能缺陷,为行动能力受限者提供的一种月度津贴。国家保险部门通过专业的医学评估委员会确认申请者的身体状况,评判其是否满足补助的标准。

该补助既可作为经济支持,也可能伴随其他优惠政策,如免税待遇或低息贷款,方便申请者改善生活质量。基本适用对象为因疾病、事故或先天性障碍导致下肢功能受损,严重影响行走能力的人群。医疗资格和评价机制移动补助的关键依据是医学界对行动功能障碍的客观评估。申请者通常需通过国家保险的医疗评审委员会(ועדה רפואית)进行身体机能测试。评审内容主要聚焦下肢残疾的严重程度、行走距离受限情况以及是否需要使用辅助设备。委员会的评定标准明确规定了最低残疾程度或功能限制阈值,只有达到或超出该标准者才能获得补助资格。

常见的判断依据包括行走距离、持续站立时间、上下楼梯的能力及辅助器具使用需求。在部分情况下,若申请者的病情发生恶化,也可再次申请复查与补助等级调整。申请流程及提交材料申请移动补助需准备详尽的医疗报告以及个人基本信息。通常流程从医疗鉴定发起,之后提交给国家保险机构由工作人员进行资格审核。申请人需填写相关表格,提供医生诊断书、医疗检查结果及其他相关证明,如残疾证书或医院出具的病历摘要。国家保险机构审核后会安排面试或现场评估,确保评定的准确性。

审批周期因地区和申请人数不同可能有所差异,一般建议申请人关注官方公布的时间表,并尽早准备材料。补助金额计算方式移动补助的发放金额依据申请者残疾的具体程度及实际生活影响而定。政府将根据评估结果确定补助级别,不同级别对应不同的月度津贴额度。附加条款中亦存在如居住环境、购车需求、是否有家庭辅助等因素的考量,有助于调整补助金额。值得一提的是,移动补助不同于一般残疾补助,其特殊定位在于为行动提供直接支持,强调资产寿命的保障与均衡。与其他福利配合使用移动补助常与其他国家保险福利项目相结合,如特殊服务津贴(קצבת שירותים מיוחדים)、失能补助等。

这些综合福利体系共同为残疾人提供全方位的经济支持与生活服务保障。例如,申请人如符合条件还可获得停车优惠、公共交通减免费用等辅助福利。部分申请者在领取移动补助的同时可以申请专项贷款,用于购买适合自身需求的改装车辆或辅助设备。日常生活影响和权利保障行动不便给申请者带来的不仅是生理困境,更是心理与社会适应的挑战。移动补助为残疾人提供经济支持,增强其独立生活的能力,促进其社会参与。法律法规确保补助申请流程的透明,维护申请者的申诉权利。

若申请过程中遭遇拒绝,申请者有权通过司法途径或申诉程序再次申诉,以保障自身权益。最新政策动向及争议建议申请者关注国家保险官方平台的最新公告与政策更新,因医疗标准和补助金额可能随时调整。近年来,伴随社会对残疾人权益的重视,移动补助的覆盖面和评定标准逐步优化,以更贴近申请者的实际需求。然而,政策执行过程中依然存在一些争议,如补助计算的公正性、医疗评审的统一标准等问题,相关律所和社会组织持续呼吁完善制度。结语行动不便不应成为限制生活质量的障碍。以色列国家保险的移动补助制度为符合资格的残疾人提供必要的经济生活保障与社会支持,体现了国家对弱势群体的人文关怀与社会责任。

全面了解移动补助的申请条件、评定程序及相关福利,将帮助符合条件的人士更好地行使自身权利,改善生活状况。无论是首次申请还是复审调整,建议申请者积极准备,必要时寻求专业法律咨询,以赢得应得的支持与帮助。 。

飞 加密货币交易所的自动交易 以最优惠的价格买卖您的加密货币

下一步
深入探讨如何通过LTCCloudMining平台实现每日高额加密货币收益,涵盖云挖矿的基本原理、平台优势、操作流程及风险管理,助力投资者高效安全地进入数字资产领域。
2026年01月16号 12点25分59秒 加入LTCCloudMining,实现每日3000美元加密货币收益的全攻略

深入探讨如何通过LTCCloudMining平台实现每日高额加密货币收益,涵盖云挖矿的基本原理、平台优势、操作流程及风险管理,助力投资者高效安全地进入数字资产领域。

探讨伐木活动导致的森林活性碳流失现象及其对全球气候变化减缓努力的影响,深入分析其机制与应对策略,强调保护森林碳储量的重要性。
2026年01月16号 12点26分23秒 伐木森林中的活性碳流失如何削弱气候缓解效果

探讨伐木活动导致的森林活性碳流失现象及其对全球气候变化减缓努力的影响,深入分析其机制与应对策略,强调保护森林碳储量的重要性。

探索如何使用Zig语言仅用1000行代码开发一个基于RISC-V架构的极简操作系统,深入解析其架构设计、核心功能以及开发过程中的技术挑战和解决方案,展示现代系统编程的先进理念和实践技巧。
2026年01月16号 12点27分03秒 用1000行Zig代码打造极简操作系统:现代系统编程的实践与探索

探索如何使用Zig语言仅用1000行代码开发一个基于RISC-V架构的极简操作系统,深入解析其架构设计、核心功能以及开发过程中的技术挑战和解决方案,展示现代系统编程的先进理念和实践技巧。

探讨Elasticsearch与传统数据库的本质区别,揭示它作为搜索引擎的优势与作为主数据库的局限,分析在实际应用中为何不应将其作为系统的唯一存储解决方案,以及未来技术如何融合搜索与数据库功能实现更高效的数据管理。
2026年01月16号 12点27分39秒 深度解析Elasticsearch为何从未真正成为数据库

探讨Elasticsearch与传统数据库的本质区别,揭示它作为搜索引擎的优势与作为主数据库的局限,分析在实际应用中为何不应将其作为系统的唯一存储解决方案,以及未来技术如何融合搜索与数据库功能实现更高效的数据管理。

日本政府着手调查国内海底光缆安装及维护企业是否从中国采购关键零部件,此举旨在强化国家经济安全,应对地缘政治风险和通信基础设施潜在威胁。新政策背景下,日本与亚太地区的通信安全格局正面临深刻变化。
2026年01月16号 12点29分24秒 日本加强海底光缆供应链安全调查,关注中国因素影响亚太地区通信安全

日本政府着手调查国内海底光缆安装及维护企业是否从中国采购关键零部件,此举旨在强化国家经济安全,应对地缘政治风险和通信基础设施潜在威胁。新政策背景下,日本与亚太地区的通信安全格局正面临深刻变化。

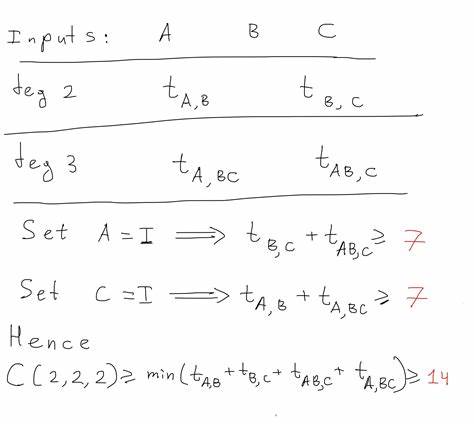
探索利用先进语言模型GPT-5揭示多矩阵乘法的最优计算方案,解析三矩阵乘法的复杂度边界及其对计算机科学的深远影响。
2026年01月16号 12点29分55秒 利用GPT-5证明矩阵乘法新定理,推动计算复杂性革命

探索利用先进语言模型GPT-5揭示多矩阵乘法的最优计算方案,解析三矩阵乘法的复杂度边界及其对计算机科学的深远影响。

深入分析Worldcoin骗局恶化的原因及其对用户和市场带来的潜在威胁,全面探讨相关事件的发展和未来影响。
2026年01月16号 12点30分41秒 揭秘Worldcoin骗局升级的真相及其背后的风险

深入分析Worldcoin骗局恶化的原因及其对用户和市场带来的潜在威胁,全面探讨相关事件的发展和未来影响。